Retas
Introdução
Entre os pontos de uma reta e os números reais existe uma correspondência biunívoca, isto é, a cada ponto de reta corresponde um único número real e vice-versa.
Considerando uma reta horizontal x, orientada da esquerda para direita (eixo), e determinando um pontoO dessa reta ( origem) e um segmento u, unitário e não-nulo, temos que dois números inteiros e consecutivos determinam sempre nesse eixo um segmento de reta de comprimento u:
Medida algébrica de um segmento
Fazendo corresponder a dois pontos, A e B, do eixo x os números reais xA e xB , temos:
A medida algébrica de um segmento orientado é o número real que corresponde à diferença entre as abscissas da extremidade e da origem desse segmento.
Plano cartesiano
A geometria analítica teve como principal idealizador o filósofo francês René Descartes ( 1596-1650). Com o auxílio de um sistema de eixos associados a um plano, ele faz corresponder a cada ponto do plano um par ordenado e vice-versa.
Quando os eixos desse sistemas são perpendiculares na origem, essa correspondência determina um sistema cartesiano ortogonal ( ou plano cartesiano). Assim, há uma reciprocidade entre o estudo da geometria ( ponto, reta, circunferência) e da Álgebra ( relações, equações etc.), podendo-se representar graficamente relações algébricas e expressar algebricamente representações gráficas.
Observe o plano cartesiano nos quadros quadrantes:
Exemplos:
A(2, 4) pertence ao 1º quadrante (xA > 0 e yA > 0)
B(-3, -5) pertence ao 3º quadrante ( xB < 0 e yB < 0)
Observação: Por convenção, os pontos localizados sobre os eixos não estão em nenhum quadrante.
Distância entre dois pontos
Dados os pontos A(xA, yA) e B(xB, yB) e sendo dAB a distância entre eles, temos:
Aplicando o teorema de Pitágoras ao triângulo retângulo ABC, vem:
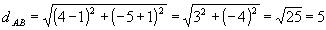
Como exemplo, vamos determinar a distância entre os pontos A(1, -1) e B(4, -5):
Retas
Razão de secção
Dados os pontos A(xA, yA), B(xB, yB), C(xC, yC) de uma mesma reta
, o ponto C divide
numa determinada razão, denominada razão de secção e indicada por:
em que
, pois se
, então A = B.
Observe a representação a seguir:
Como o
, podemos escrever:
Vejamos alguns exemplos:
Considerando os pontos A(2, 3), B(5, 6) e P(3, 4), a razão em que o ponto P divide
é:
Se calculássemos rp usando as ordenadas dos pontos, obteríamos o mesmo resultado:
Para os pontos A(2, 3), B(5, 6) e P(1, 2), temos:
Assim, para um ponto P qualquer em relação a um segmento orientado
contido em um eixo, temos:
se P é interior a
, então rp > 0
se P é exterior a
, então rp < 0
se P = A, então rp =0 
se P = B, então não existe rp (PB = 0)
se P é o ponto médio de
, então rp =1 
Retas
Ponto médio
Dados os pontos A(xA, yA), B(xB, yB) e P, que divide
ao meio, temos:
Assim:
Logo, as coordenadas do ponto médio são dadas por:
Baricentro de um triângulo
Observe o triângulo da figura a seguir, em que M, N e P são os pontos médios dos lados
, respectivamente. Portanto,
são as medianas desse triângulo:
Chamamos de baricentro (G) o ponto de intersecção das medianas de um triângulo.
Esse ponto divide a mediana relativa a um lado em duas partes: a que vai do vértice até o baricentro tem o dobro da mediana da que vai do baricentro até o ponto médio do lado.
Veja:
Cálculo das coordenadas do baricentro
Sendo A(XA, YA), B(XB, YB) e C(XC, YC) vértices de um triângulo, se N é ponto médio de
, temos:
Mas:
Analogamente, determinamos
. Assim:
Retas
Condições de alinhamento de três pontos
Se três pontos, A(xA, yA), B(xB, yB) e C(xC, yC), estão alinhados, então:
Para demonstrar esse teorema podemos considerar três casos:
a) três pontos alinhados horizontalmente
Neste caso, as ordenadas são iguais:
yA = yB = yC
e o determinante é nulo, pois a 2ª e a 3ª coluna são proporcionais.
b) três pontos alinhados verticalmente
Neste caso, as abscissas são iguais:
xA = xB = xC
e o determinante é nulo, pois a 1ª e a 3ª coluna são proporcionais.
c) três pontos numa reta não-paralela aos eixos
Pela figura, verificamos que os triângulos ABD e BCE são semelhantes. Então:
Desenvolvendo, vem:
Como:
então
.
Observação: A recíproca da afirmação demonstrada é válida, ou seja, se
, então os pontos A(xA,yA), B(xB,yB) e C(xC, yC) estão alinhados.
Retas
Equações de uma reta
Equação geral
Podemos estabelecer a equação geral de uma reta a partir da condição de alinhamento de três pontos.
Dada uma reta r, sendo A(xA, yA) e B(xB, yB) pontos conhecidos e distintos de r e P(x,y) um ponto genérico, também de r, estando A, B e P alinhados, podemos escrever:
Fazendo yA - yB = a, xB - xA = b e xAyB - xByA=c, como a e b não são simultaneamente nulos
, temos:
ax + by + c = 0
(equação geral da reta r)
Essa equação relaciona x e y para qualquer ponto P genérico da reta. Assim, dado o ponto P(m, n):
se am + bn + c = 0, P é o ponto da reta;
se am + bn + c
0, P não é ponto da reta.
Acompanhe os exemplos:
Vamos considerar a equação geral da reta r que passa por A(1, 3) e B(2, 4).
Considerando um ponto P(x, y) da reta, temos:
Vamos verificar se os pontos P(-3, -1) e Q(1, 2) pertencem à reta r do exemplo anterior. Substituindo as coordenadas de P em x - y + 2 = 0, temos:
-3 - (-1) + 2 = 0
-3 + 1 + 2 = 0
Como a igualdade é verdadeira, então P
r.
Substituindo as coordenadas de Q em x - y + 2 = 0, obtemos:
1 - 2 + 2
0
Como a igualdade não é verdadeira, então Q
r.
Equação segmentária
Considere a reta r não paralela a nenhum dos eixos e que intercepta os eixos nos pontos P(p, 0) e Q(0, q), com
:
A equação geral de r é dada por:
Dividindo essa equação por pq
, temos:
Como exemplo, vamos determinar a equação segmentária da reta que passa por P(3, 0) e Q(0, 2), conforme o gráfico:
Retas
Equações paramétricas
São equações equivalentes à equação geral da reta, da forma x= f(t) e y= g(t), que relacionam as coordenadas x e y dos pontos da reta com um parâmetro t.
Assim, por exemplo,
, são equações paramétricas de uma reta r.
Para obter a equação geral dessa reta a partir das paramétricas, basta eliminar o parâmetro t das duas equações:
x = t + 2
t = x -2
Substituindo esse valor em y = - t + 1, temos:
y = -(x - 2) + 1 = -x + 3
x + y - 3 = 0 ( equação geral de r)
Equação Reduzida
Considere uma reta r não-paralela ao eixo Oy:
Isolando y na equação geral ax + by + c = 0, temos:
Fazendo
, vem:
y = mx + q
Chamada equação reduzida da reta, em que
fornece a inclinação da reta em relação ao eixoOx.
Quando a reta for paralela ao eixo Oy, não existe a equação na forma reduzida.
Retas
Coeficiente angular
Chamamos de coeficiente angular da reta r o número real m tal que:
O ângulo
é orientado no sentido anti-horário e obtido a partir do semi-eixo positivo Ox até a reta r. Desse modo, temos sempre
.
Assim:
para
( a tangente é positiva no 1º quadrante)
para
( a tangente é negativa no 2º quadrante)
Exemplos:
Determinação do coeficiente angular
Vamos considerar três casos:
a) o ângulo
é conhecido
b) as coordenadas de dois pontos distintos da reta são conhecidas: A(xA, yA) e B(xB, yB)
Como
( ângulos correspondentes) temos que
.
Mas, m = tg
Então:
Assim, o coeficiente angular da reta que passa, por exemplo, por A(2, -3) e B(-2, 5) é:
c) a equação geral da reta é conhecida
Se uma reta passa por dois pontos distintos A(XA, YA) e B(XB, YB), temos:
Aplicando o Teorema de Laplace na 1ª linha, vem:
(YA - YB)x + (XB - XA)y + XAYA - XBYB = 0
Da equação geral da reta, temos:
Substituindo esses valores em
, temos:
Retas
Equação de uma reta r, conhecidos o coeficiente angular e um ponto de r
Seja r uma reta de coeficiente angular m. Sendo P(X0, Y0), P
r, e Q(x,y) um ponto qualquer de r(Q
P), podemos escrever:
Como exemplo, vamos determinar a equação geral da reta r que passa por P(1, 2), sendo m=3. Assim, temos X0=1 e Y0=2. Logo:
y-y0=m(x-x0)=y-2 = 3(x - 1) = y-2 = 3x - 3 = 3x - y - 1 = 0
que é a equação geral de r.
Representação gráfica de retas
Para representar graficamente as retas de equação ax + by + c = 0 ( b
0), isolamos a variável y e atribuímos valores a x, obtendo pares ordenados que são pontos da reta.
Assim, é mais conveniente usar a equação na forma reduzida, já que ela apresenta o y isolado.
Coordenadas do ponto de intersecção de retas
A intersecção das retas r e s, quando existir, é o ponto P(x, y), comum a elas, que é a solução do sistema formado pelas equações das duas retas.
Vamos determinar o ponto de intersecção, por exemplo, das retas r: 2x +y - 4 =0 e s: x -y +1=0. Montando o sistema e resolvendo-o, temos:
Substituindo esse valor em x -y = -1, temos:
1 - y = -1
y = 2
Logo, P(1, 2) é o ponto de intersecção das retas r e s.
Graficamente, temos:
Posições relativas entre retas
Paralelismo
Duas retas, r e s, distintas e não-verticais, são paralelas se, e somente se, tiverem coeficientes angulares iguais.
Retas
Concorrência
Dadas as retas r: a1x +b1y + c1 = 0 e s: a2x + b2y + c2 = 0, elas serão concorrentes se tiverem coeficientes angulares diferentes:
Como exemplo, vamos ver se as retas r: 3x - 2y + 1 = 0 e s: 6x + 4y + 3 = 0 são concorrentes:
Perpendicularismo
Se r e s são duas retas não-verticais, então r é perpendicular a s se, e somente se, o produto de seus coeficientes angulares for igual a -1. Lê-se
. Acompanhe o desenho:
Ângulo entre duas retas
Sendo r e s duas retas não-verticais e não-perpendiculares entre si, pelo teorema do ângulo externo
, temos:
Dependendo da posição das duas retas no plano, o ângulo
pode ser agudo ou obtuso. Logo:
Essa relação nos fornece o ângulo agudo
entre r e s, pois
. O ângulo obtuso
será o suplemento de
.
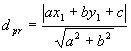
Distância entre ponto e reta
Dados um ponto P(x1, y1) e uma reta r:ax + by + c = 0, a distância entre eles (dpr)é dada por:
Vamos calcular a distância, por exemplo, do ponto P(-1,2) à reta r: x - 2y + 1 = 0.
Temos P(-1, 2) = P(x1, y1), a = 1, b= - 2 e c=1. Assim:
Bissetrizes
Dadas as retas concorrentes r: a1x + b1y + c1 = 0 e s: a2x + b2y + c2 = 0, o que se interceptam em um ponto Q, se P(x, y) é um ponto qualquer de uma das bissetrizes, P
Q, então P equidista de r e s:
Considerando o sinal positivo, obtemos uma bissetriz; considerando o sinal negativo, obtemos a outra.
Vejamos um exemplo:
Se r: 3x + 2y - 7 = 0 e s: 2x - 3y + 1 = 0, então suas bissetrizes são:
http://www.somatematica.com.br/emedio/retas/retas.php
Nenhum comentário:
Postar um comentário